Cuando la presidenta del Banco Central de Honduras (BCH), Rebeca Santos, se rebajó en 50% el salario, se esperaba que la medida fuera seguida de una propuesta de reformas en la política salarial, al menos en los altos cargos, de esa institución.
Sin embargo, la medida solo fue atendida por el Vicepresidente (nombrado posteriormente al anuncio y quien gana 130.000 lempiras), ya que el resto de altos cargos mantuvo sus salarios y los beneficios que otorga el contrato colectivo del BCH. Entre los beneficios se incluye el pago de bonos, en junio los empleados recibieron más de tres salarios, después que en marzo recibieran una bonificación.
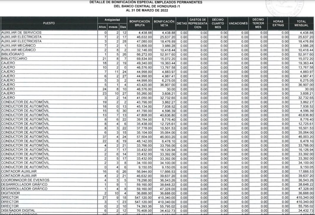
Los empleados recibieron en junio dos cheques, el primero por pago de salario y «décimo cuarto mes», y otro adicional de bonificación. En marzo recibieron un primer bono, que en algunos casos, casi duplicaron el salario nominal.
En junio, dos Directores que ganan 273.560 lempiras al mes, recibieron un cheque por «547.120 lempiras» y otro por «556.182 y 211.467 lempiras», respectivamente. Es correcto, un Director recibió más de 1.1 millones de lempiras.

El tercer Director, recién nombrado, que devenga 251.422 lempiras, recibió un pago neto por 222.411 lempiras y otro por 216.114 lempiras.

Entre los cuatro Gerentes (hay oficinas regionales con cargos de alta dirección), uno recibió 544.186 lempiras, más 176.830 lempiras. Los cinco Sub gerentes del BCH, tienen salarios superiores a los 230.000 lempiras al mes y por ello, unos recibieron pagos de más de 750.000 lempiras.
Un subgerente recibió el pago de «433.528 lempiras» que incluyeron «Vacaciones» por un monto de «351.367 lempiras», además del 468.490 lempiras por el mes y el décimo cuarto salario.
Los 25 Jefes de Departamento, que tiene el Banco Central, también representan una fuerte erogación ya que devengan entre 100.000 y más de 193.000 lempiras al mes.

La doble planilla de junio, personal por contrato, superó los 138 millones de lempiras (103 millones 977.568 lempiras con décimo cuarto salario y de 34 millones 353.601 lempiras por pago adicional). En marzo tuvo un impacto similar y se tienen programados nuevos pagos para el cierre del año.
Bono en marzo
En el mes de marzo, y recordando que el BCH revisa sus salarios en base a la inflación a inicios de cada año, los empleados recibieron su salario y una «Bonificación». Estos bonos están más ligados al salario y los años en el cargo, que al desempeño laboral, por ejemplo dos Directores recibieron una bonificación bruta de «547.120 lempiras» (410.340 lempiras netos).
También un Gerente tuvo un bono bruto de 544.186 lempiras (408.139 lempiras netos), los cinco subgerentes entre 351.367 y 404.481 lempiras netos y un «Asesor» recibió bonificación bruta de 467.220 lempiras (350.415 lempiras netos). Mientras la Presidenta del BCH, tuvo un bono de «54.186 lempiras netos», un poco más del 30% de su sueldo de 135.000 lempiras.
Hay que destacar que la mayoría de los más de mil empleados del BCH tiene salarios bajos. Los «altos cargos» representan un millonario y creciente impacto económico sin que se conozca una propuesta o acción oficial de la actual presidenta, Rebeca Santos, sobre esta temática.
LEA: Es posible congelar salarios de «altos funcionarios»
Info@dinero.hn


























